Физика
0
Специальный поиск
Физика
Теория вероятностей и мат. статистика
Гидравлика
Теор. механика
Прикладн. механика
Химия
Электроника
Витамины для ума
Главная
Поиск по сайту
Формулы
Все задачи
Помощь
Контакты
Билеты
Задача 80316
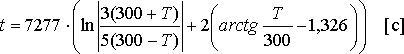
Металлический зачерненный шар радиусом R = 1 см с теплоемкостью 14 Дж/К при температуре 1200 °К помещен в печь с температурой 300 °К. Найти время остывания шарика в печи до температуры Т?
Макет решения задачи 80316
Ответ:
Формат файла с решением:
doc
Цена:
103 руб.
В корзину
Добавить
Правовая информация