Физика
0
Специальный поиск
Физика
Теория вероятностей и мат. статистика
Гидравлика
Теор. механика
Прикладн. механика
Химия
Электроника
Витамины для ума
Главная
Поиск по сайту
Формулы
Все задачи
Помощь
Контакты
Билеты
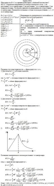
Задача 26832
Шар радиусом R = 5 см заряжен равномерно с объёмной плотностью 3 нКл/м
3
. Определите напряжённость электростатического поля: 1) на расстоянии 2 см от центра шара; 2) на расстоянии 7 см от центра шара; 3) на поверхности шара. Построить зависимость напряжённости от расстояния r от центра шара. Определите потенциал в точках поля на расстояниях: 2; 5; 10 см от центра шара.
Макет решения задачи 26832
Ответ:
1) E(r
1
) = 2,26 В/м; 2) E(r
2
) = 2,88 В/м; 3) E(R) = 5,65 В/м; φ(r
1
) = 0,0452 В; φ(R) = 0,282 В; φ(r
3
) = 0,141 В
Формат файла с решением:
doc
Цена:
99 руб.
В корзину
Добавить
Правовая информация