Физика
0
Специальный поиск
Физика
Теория вероятностей и мат. статистика
Гидравлика
Теор. механика
Прикладн. механика
Химия
Электроника
Витамины для ума
Главная
Поиск по сайту
Формулы
Все задачи
Помощь
Контакты
Билеты
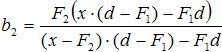
Задача 26192
Собирающая линза с фокусным расстоянием F
1
находится на расстоянии x от рассеивающей линзы с фокусным расстоянием F
2
. Найти, на каком расстоянии от второй линзы получится изображение точки, если сама светящаяся точка находится на расстоянии d от первой линзы.
Макет решения задачи 26192
Ответ:
Формат файла с решением:
doc
Цена:
67 руб.
В корзину
Добавить
Правовая информация