Физика
0
Специальный поиск
Физика
Теория вероятностей и мат. статистика
Гидравлика
Теор. механика
Прикладн. механика
Химия
Электроника
Витамины для ума
Главная
Поиск по сайту
Формулы
Все задачи
Помощь
Контакты
Билеты
Задача 26141
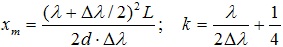
В опыте Юнга используется лазерное излучение с длиной волны λ и шириной спектра Δλ, расстояние между двумя щелями на втором экране равно d, а экран, на котором наблюдается интерференционная картина удалён, от второго экрана на расстояние
l
. При каком расстоянии x
m
от центра интерференционной картины исчезнут интерференционные полосы? Найти максимальный порядок интерференции k.
Макет решения задачи 26141
Ответ:
Формат файла с решением:
doc
Цена:
76 руб.
В корзину
Добавить
Правовая информация