Физика
0
Специальный поиск
Физика
Теория вероятностей и мат. статистика
Гидравлика
Теор. механика
Прикладн. механика
Химия
Электроника
Витамины для ума
Главная
Поиск по сайту
Формулы
Все задачи
Помощь
Контакты
Билеты
Задача 25679
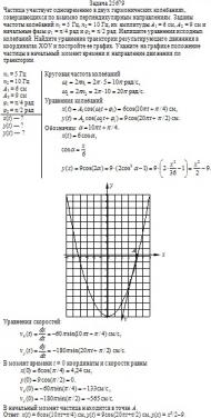
Частица участвует одновременно в двух гармонических колебаниях, совершающихся по взаимно перпендикулярным направлениям. Заданы частоты колебаний n
1
= 5 Гц, n
2
= 10 Гц, их амплитуды А
1
= 6 см, А
2
= 9 см и начальные фазы φ
1
= π/4 рад и φ
2
= π/2 рад. Напишите уравнения исходных колебаний. Найдите уравнение траектории результирующего движения в координатах ХОУ и постройте ее график. Укажите на графике положение частицы в начальный момент времени и направление движения по траектории.
Макет решения задачи 25679
Ответ:
x(t) = 6cos(10πt+π/4) см, y(t) = 9cos(20πt+π/2) см, y(x) = x
2
/2–9
Формат файла с решением:
doc
Цена:
68 руб.
В корзину
Добавить
Правовая информация