Физика
0
Специальный поиск
Физика
Теория вероятностей и мат. статистика
Гидравлика
Теор. механика
Прикладн. механика
Химия
Электроника
Витамины для ума
Главная
Поиск по сайту
Формулы
Все задачи
Помощь
Контакты
Билеты
Задача 25640
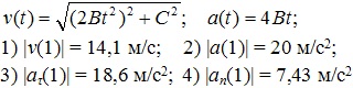
Движение материальной точки задано уравнением r(t) = i(A+Bt
2
)+jCt, где A = 10 м, В = –5 м/с
2
, С = 10 м/с. Начертить траекторию точки. Найти выражения v(t) и a(t). Для момента времени t = 1 с вычислить: 1) модуль скорости |v| ; 2) модуль ускорения |а|; 3) модуль тангенциального ускорения |а
τ
|; 4) модуль нормального ускорения |а
n
|.
Макет решения задачи 25640
Ответ:
Формат файла с решением:
doc
Цена:
69 руб.
В корзину
Добавить
Правовая информация