Физика
0
Специальный поиск
Физика
Теория вероятностей и мат. статистика
Гидравлика
Теор. механика
Прикладн. механика
Химия
Электроника
Витамины для ума
Главная
Поиск по сайту
Формулы
Все задачи
Помощь
Контакты
Билеты
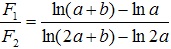
Задача 25532
Тонкий проводник с током I
1
расположен на расстоянии a от металлической ленты с током I
2
. Оба проводника лежат в одной плоскости, а ширина ленты равна b. Во сколько раз уменьшится сила взаимодействия между проводниками на единицу их длины, если расстояние между проводниками станет равным 2a?
Макет решения задачи 25532
Ответ:
Формат файла с решением:
doc
Цена:
51 руб.
В корзину
Добавить
Правовая информация