Физика
0
Специальный поиск
Физика
Теория вероятностей и мат. статистика
Гидравлика
Теор. механика
Прикладн. механика
Химия
Электроника
Витамины для ума
Главная
Поиск по сайту
Формулы
Все задачи
Помощь
Контакты
Билеты
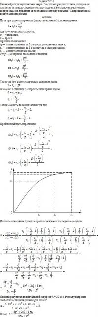
Задача 25351
Камень бросили вертикально вверх. Во сколько раз расстояние, которое он пролетит за предпоследнюю секунду подъема, больше, чем расстояние, которое камень пролетит за последнюю секунду подъема? Сопротивлением воздуха пренебрегаем.
Макет решения задачи 25351
Ответ:
Формат файла с решением:
doc
Цена:
92 руб.
В корзину
Добавить
Правовая информация