Физика
0
Специальный поиск
Физика
Теория вероятностей и мат. статистика
Гидравлика
Теор. механика
Прикладн. механика
Химия
Электроника
Витамины для ума
Главная
Поиск по сайту
Формулы
Все задачи
Помощь
Контакты
Билеты
Задача 25238
По длинному прямому проводнику течет ток I
1
. Рядом с этим проводником расположена прямоугольная рамка со сторонами b и a, обтекаемая током I
2
. Ближайшая сторона рамки находится на расстоянии
l
от проводника (рис. 2.8). Определить силу, действующую на рамку со стороны магнитного поля проводника.
Макет решения задачи 25238
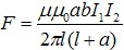
Ответ:
Формат файла с решением:
doc
Цена:
77 руб.
В корзину
Добавить
Правовая информация