Физика
0
Специальный поиск
Физика
Теория вероятностей и мат. статистика
Гидравлика
Теор. механика
Прикладн. механика
Химия
Электроника
Витамины для ума
Главная
Поиск по сайту
Формулы
Все задачи
Помощь
Контакты
Билеты
Задача 19350
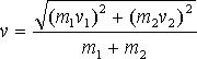
Плот массой m
1
свободно скользит по поверхности воды со скоростью v
1
. На плот с берега прыгает человек массы m
2
. Скорость человека перпендикулярна к скорости плота и равна v
2
. Определить скорость v плота с человеком. Силами трения плота о воду пренебречь.
Макет решения задачи 19350
Ответ:
Формат файла с решением:
doc
Цена:
10 руб.
В корзину
Добавить
Правовая информация