Физика
0
Специальный поиск
Физика
Теория вероятностей и мат. статистика
Гидравлика
Теор. механика
Прикладн. механика
Химия
Электроника
Витамины для ума
Главная
Поиск по сайту
Формулы
Все задачи
Помощь
Контакты
Билеты
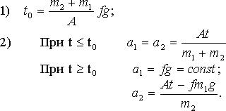
Задача 13054
На гладкой горизонтальной поверхности находится доска массой m
2
, на которой лежит брусок массой m
1
. Коэффициент трения бруска о поверхность доски равен f. К доске приложена горизонтальная сила F, зависящая от времени по закону F = At, где А — некоторая постоянная. Определите: 1) момент времени t
0
, когда доска начнет выскальзывать из-под бруска; 2) ускорения бруска а
1
и доски а
2
в процессе движения.
Макет решения задачи 13054
Ответ:
Формат файла с решением:
doc
Цена:
13 руб.
В корзину
Добавить
Правовая информация