Физика
0
Специальный поиск
Физика
Теория вероятностей и мат. статистика
Гидравлика
Теор. механика
Прикладн. механика
Химия
Электроника
Витамины для ума
Главная
Поиск по сайту
Формулы
Все задачи
Помощь
Контакты
Билеты
Задача 10584
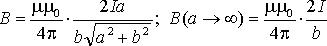
Замкнутая цепь с током силы I включает в себя прямолинейный участок длины 2а. Точка A лежит на расстоянии b от этого участка на перпендикуляре, проходящем через его середину. Найти ту часть магнитной индукции B в точке A, которая создается данным участком. Исследовать случай а→∞.
Макет решения задачи 10584
Ответ:
Формат файла с решением:
doc
Цена:
26 руб.
В корзину
Добавить
Правовая информация